See the White Paper that implicated the Former Governor Chibuike Amaechi for Embezzling over N500billion Rivers State Funds

Buhari’s Corruption Fight Will Amount To Nothing If He Didn’t Do This To Rotimi Amaechi[See What He Must Do]

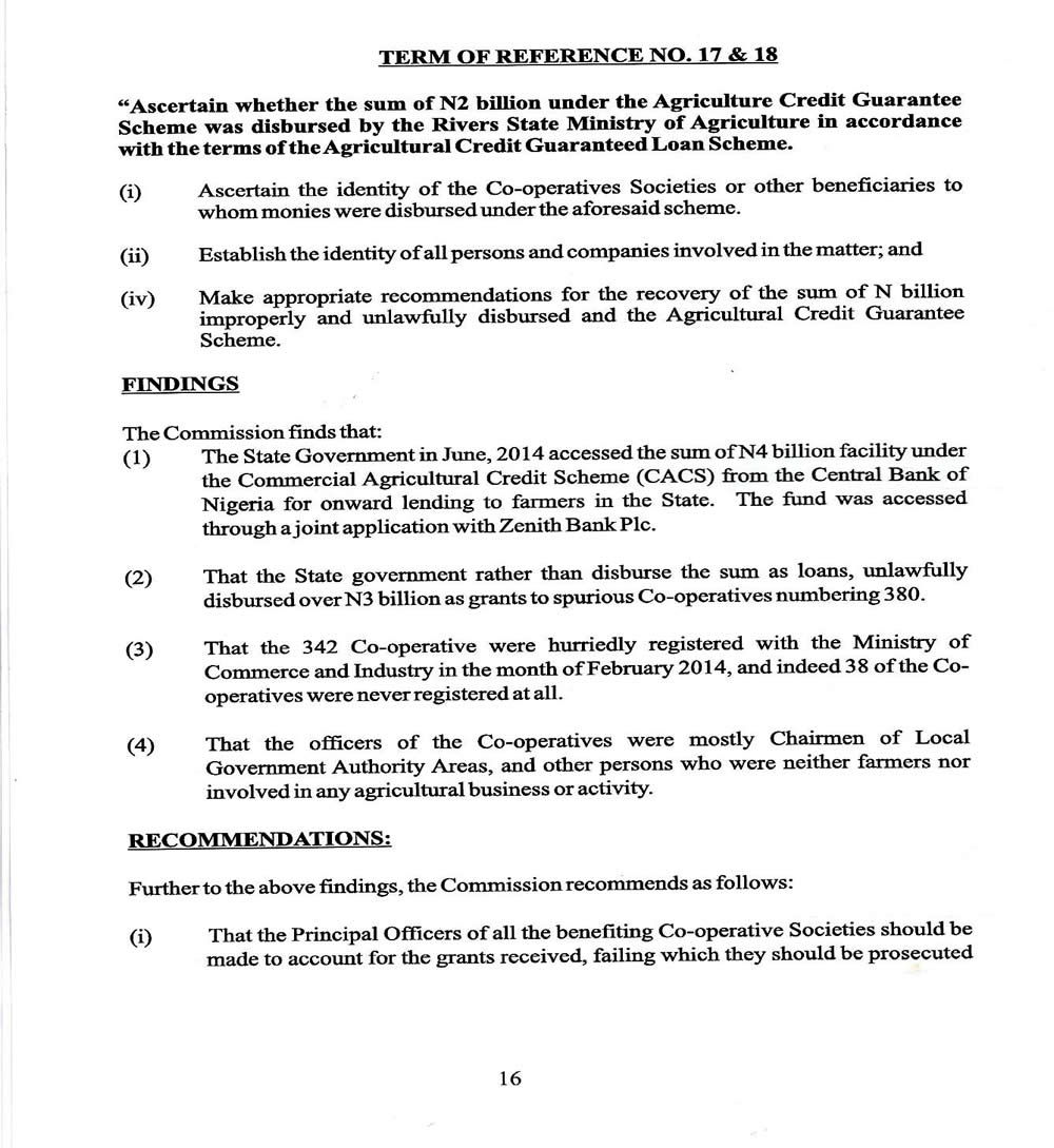
White Paper that indicted Former Governor Chibuike Amaechi for Embezzling over N500billion Rivers State funds These are hard copies of the White Paper that was released by the Rivers State Government after it received the report of the Judicial Commission of Inquiry that investigated the former governor.

The white paper has been formally submitted to the EFCC, ICPC, Presidency and National Assembly by the Rivers State Government.

Amaechi stands as Nigeria’s most corrupt former governor.

This White Paper outlines how Amaechi got the money found at his Ikoyi residence.

See the White Paper that implicated the Former Governor Chibuike Amaechi for Embezzling over N500billion Rivers State Funds
See the White Paper that implicated the Former Governor Chibuike Amaechi for Embezzling over N500billion Rivers State Funds
See the White Paper that implicated the Former Governor Chibuike Amaechi for Embezzling over N500billion Rivers State Funds
See the White Paper that implicated the Former Governor Chibuike Amaechi for Embezzling over N500billion Rivers State Funds
See the White Paper that implicated the Former Governor Chibuike Amaechi for Embezzling over N500billion Rivers State Funds
See the White Paper that implicated the Former Governor Chibuike Amaechi for Embezzling over N500billion Rivers State Funds
See the White Paper that implicated the Former Governor Chibuike Amaechi for Embezzling over N500billion Rivers State Funds
See the White Paper that implicated the Former Governor Chibuike Amaechi for Embezzling over N500billion Rivers State Funds
See the White Paper that implicated the Former Governor Chibuike Amaechi for Embezzling over N500billion Rivers State Funds
See the White Paper that implicated the Former Governor Chibuike Amaechi for Embezzling over N500billion Rivers State Funds
See the White Paper that implicated the Former Governor Chibuike Amaechi for Embezzling over N500billion Rivers State Funds
See the White Paper that implicated the Former Governor Chibuike Amaechi for Embezzling over N500billion Rivers State Funds
See the White Paper that implicated the Former Governor Chibuike Amaechi for Embezzling over N500billion Rivers State Funds
See the White Paper that implicated the Former Governor Chibuike Amaechi for Embezzling over N500billion Rivers State Funds
See the White Paper that implicated the Former Governor Chibuike Amaechi for Embezzling over N500billion Rivers State Funds
See the White Paper that implicated the Former Governor Chibuike Amaechi for Embezzling over N500billion Rivers State Funds
See the White Paper that implicated the Former Governor Chibuike Amaechi for Embezzling over N500billion Rivers State Funds
See the White Paper that implicated the Former Governor Chibuike Amaechi for Embezzling over N500billion Rivers State Funds